The mandate of the U.S. National Park Service is to promote and regulate national parks for the conservation of
historic objects within the park.
scenery.
wildlife within the park.
All of the above.
The IUCN defines a protected area as “a clearly defined geographical space, recognised, dedicated and managed through legal or other effective means, to
prevent the extinction of plants and animals.”
achieve the long-term conservation of nature with associated ecosystem services and cultural values.”
conserve scenery and the natural and historic objects and wild life therein.”
protect biodiversity and also possibly geological or geomorphological features by strictly limiting human visitation and activities.”
The IUCN has defined categories of protected areas that differ in terms of purpose and restrictions on human activities. Which of the following lists of protected area types is correctly ordered from most restrictive of human activities to least restrictive?
wilderness areas > protected landscapes/seascapes > natural monuments
wilderness areas > national parks > protected landscapes/seascapes
wilderness areas > protected landscapes/seascapes > national parks
national park > protected landscapes/seascapes > wilderness areas
Which of these statements is supported by the data shown in the figure below?
High elevation regions tend to have the least productive soils.
Regions with highly productive soils have less land area under protection compared to regions with less productive soils.
One-third (33%) of Earth’s lands that lie above 3,690 m are protected.
One-fifth (20%) of Earth’s lands classified as having the most productive soils are protected.
Which of the following terms best describes a legal agreement that financially rewards landowners in exchange for restrictions on current and future land uses?
Conservation easement
Debt-for-nature swap
Integrated conservation and development project
No-take zone
Which of the following terms best describes an arrangement in which a nongovernmental organization pays off some portion of a government’s debt at a reduced rate, and in exchange the indebted nation commits to engage in some agreed-upon set of conservation activities?
Integrated conservation and development project
Land trust
Conservation covenant
Debt-for-nature swap
Conservation easements and conservation covenants differ in which of the following ways?
Conservation easements are voluntary agreements, but conservation covenants are mandated by law.
Conservation easements tend to be in perpetuity and remain with the land when it changes hands, but conservation covenants tend to have a limited lifetime and often do not transfer to the new owners when the land changes hands.
Conservation easements generally require active management, but conservation covenants tend to restrict certain activities.
None of the above
Which of these statements is supported by the data shown in the figure below?
Inside protected areas, higher vegetation loss tends to be observed when moving further away from the protected area boundary.
Loss of vegetation is typically higher inside protected areas compared to areas just outside the protected area boundary.
Within West African forest, protected areas of IUCN categories I–IV experienced greater loss of vegetation within their boundaries than did protected areas of types V, VI, and miscellaneous other types.
None of the above
According to Figure 5.6, which of these statements is true about deforestation rates in Costa Rica’s protected areas?
Deforestation is greater within, compared to just outside, Costa Rica’s protected areas.
Costa Rica’s protected areas have reduced the extent of deforestation, but the magnitude of their effect is much smaller when accounting for covariates such as distance to roads and cities.
Costa Rica’s protected areas have reduced the extent of deforestation by at least 50%.
None of the above.
Which of these statements is supported by the data shown in the figure below?
Matched comparisons generally yield smaller estimates of protected area effectiveness than unmatched comparisons do.
Protected areas have generally had a positive effect on natural vegetation cover.
Most comparisons found a positive effect of protected areas on natural vegetation cover, regardless of whether matched or unmatched comparisons were made.
All of the above
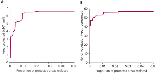
Which of these statements is supported by the data shown in the figure below?
Strategically replacing selected protected areas would have no appreciable conservation benefit.
Replacing the least cost-effective 1% of protected areas would increase by about tenfold the total area under protection.
Replacing the least cost-effective 1% of protected areas would increase the total area under protection but would not increase the number of vegetation types represented.
All of the above
Imagine that you want to measure the extent to which protected areas have reduced the rate of deforestation. A simple comparison of protected areas versus unprotected areas would be complicated by the fact that protected areas
are not established in randomly selected locations.
tend to be established in areas that have already experienced significant deforestation.
tend to be established in areas close to cities and roads.